Scientific Information

Concentrating Pipette™ Validation for for Somatic Coliphage in Raw and Treated Water
De Watergroep, Belgium's leading water utility serving a majority of the Flemish region, has successfully validated a novel water monitoring method for concentrating somatic coliphages, a key indicator of fecal...
Concentrating Pipette™ Validation for for Somatic Coliphage in Raw and Treated Water
De Watergroep, Belgium's leading water utility serving a majority of the Flemish region, has successfully validated a novel water monitoring method for concentrating somatic coliphages, a key indicator of fecal...

Concentration & Sequencing of Viable but Non-Culturable (VBNC) Contaminants in Drinking Water
Water testing using the Concentrating Pipette paired with metagenomic sequencing enables non-culturable microorganisms present in the water samples to be identified, that traditional water testing methods miss. In this study, bacteria,...
Concentration & Sequencing of Viable but Non-Culturable (VBNC) Contaminants in Drinking Water
Water testing using the Concentrating Pipette paired with metagenomic sequencing enables non-culturable microorganisms present in the water samples to be identified, that traditional water testing methods miss. In this study, bacteria,...

Microbial Contamination Testing of Frozen Vegetables Rinses Using the Concentrating Pipette™
“Our findings suggest that the InnovaPrep concentration pipette system is effective for water-based food systems, including process water, vat rinses, food processing-related equipment rinses, produce wash water, and water/buffer-suspended surface/air...
Microbial Contamination Testing of Frozen Vegetables Rinses Using the Concentrating Pipette™
“Our findings suggest that the InnovaPrep concentration pipette system is effective for water-based food systems, including process water, vat rinses, food processing-related equipment rinses, produce wash water, and water/buffer-suspended surface/air...

Concentration of CrAssphage, an Indicator of Norovirus in Irrigation Waters
The prevalence of crAssphage that was concentrated from 600 mL samples was consistently found to be at least 2 log10 units higher than that of norovirus, with over 70% of...
Concentration of CrAssphage, an Indicator of Norovirus in Irrigation Waters
The prevalence of crAssphage that was concentrated from 600 mL samples was consistently found to be at least 2 log10 units higher than that of norovirus, with over 70% of...

Rapid Concentration of Salmonella in Leafy Greens for Same-day Results
Researchers at USDA ARS aimed to reduce time to detect using the Concentrating Pipette as a means to concentrate a 3-hour enrichment for detection of salmonella from a variety of...
Rapid Concentration of Salmonella in Leafy Greens for Same-day Results
Researchers at USDA ARS aimed to reduce time to detect using the Concentrating Pipette as a means to concentrate a 3-hour enrichment for detection of salmonella from a variety of...

Concentrating Pipette™ Performance with Sequencing Methods for Wastewater-Based Epidemiology Variant Tracking
“Innovaprep ultrafiltration (following solids removal) had the highest sequencing sensitivity and richness, resulting in the successful assembly of most near-complete human virus genomes.”
Concentrating Pipette™ Performance with Sequencing Methods for Wastewater-Based Epidemiology Variant Tracking
“Innovaprep ultrafiltration (following solids removal) had the highest sequencing sensitivity and richness, resulting in the successful assembly of most near-complete human virus genomes.”

Using the Concentrating Pipette™ for Disease Surveillance at the Building Level
The Concentrating Pipette (CP) exhibits high sensitivity, particularly in detecting low pathogen concentrations, enabling early detection within close habitation building communities through wastewater monitoring. Additionally, the CP's design minimizes sample...
Using the Concentrating Pipette™ for Disease Surveillance at the Building Level
The Concentrating Pipette (CP) exhibits high sensitivity, particularly in detecting low pathogen concentrations, enabling early detection within close habitation building communities through wastewater monitoring. Additionally, the CP's design minimizes sample...

A Mini Meta Study on Surface, Air, Water and Food Metagenomics Workflows
These diverse studies showcase the Concentrating Pipette and AirPrep samplers and their utility for culture, molecular, and sequencing applications from a variety of matrices.
A Mini Meta Study on Surface, Air, Water and Food Metagenomics Workflows
These diverse studies showcase the Concentrating Pipette and AirPrep samplers and their utility for culture, molecular, and sequencing applications from a variety of matrices.

CP Select™ Provides a 35% Time Reduction for Hepatitis A and Norovirus Testing from Fresh and Frozen Produce Compared to the ISO Method
To improve detection methods for hepatitis A and Norovirus on fresh and frozen produce, Scientists employed the Concentrating Pipette (CP) method and compared it with the ISO 15216-1:2017 reference method for food...
CP Select™ Provides a 35% Time Reduction for Hepatitis A and Norovirus Testing from Fresh and Frozen Produce Compared to the ISO Method
To improve detection methods for hepatitis A and Norovirus on fresh and frozen produce, Scientists employed the Concentrating Pipette (CP) method and compared it with the ISO 15216-1:2017 reference method for food...

InnovaPrep Receives Contract from Leidos in Support of the Intelligence Advance Research Projects Activities (IARPA)
INNOVAPREP LLC today announced that it has been awarded a contract to supply chemical aerosol system design and testing expertise to Leidos. Leidos is supporting IARPA’s Pursuing Intelligent Complex Aerosols...
InnovaPrep Receives Contract from Leidos in Support of the Intelligence Advance Research Projects Activities (IARPA)
INNOVAPREP LLC today announced that it has been awarded a contract to supply chemical aerosol system design and testing expertise to Leidos. Leidos is supporting IARPA’s Pursuing Intelligent Complex Aerosols...

InnovaPrep Technology Featured in NASA Spin-off Magazine
InnovaPrep Technology was featured in the latest NASA Spin-off Magazine (Jan 2024) highlighting their use-cases for the technology along with other public health and commercial applications.
InnovaPrep Technology Featured in NASA Spin-off Magazine
InnovaPrep Technology was featured in the latest NASA Spin-off Magazine (Jan 2024) highlighting their use-cases for the technology along with other public health and commercial applications.

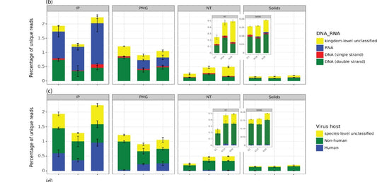
Concentrating Pipette™ Proves Best for Targeted Sequencing of Human Viruses from Wastewater
"Seven near-complete human virus genomes were assembled from InnovaPrep samples, the most from any concentration/extraction method. This aligned with the high numbers of total virus and human virus reads in...
Concentrating Pipette™ Proves Best for Targeted Sequencing of Human Viruses from Wastewater
"Seven near-complete human virus genomes were assembled from InnovaPrep samples, the most from any concentration/extraction method. This aligned with the high numbers of total virus and human virus reads in...